1.引言
X射线衍射分析法是研究物质的物相和晶体结构的主要方法。当某物质(晶体或非晶体)进行衍射分析时,该物质被X射线照射产生不同程度的衍射现象,物质组成、晶型、分子内成键方式、分子的构型、构象等决定该物质产生特有的衍射图谱。X射线衍射方法具有不损伤样品、无污染、快捷、测量精度高、能得到有关晶体完整性的大量信息等优点。因此,X射线衍射分析法作为材料结构和成分分析的一种现代科学方法,已逐步在各学科研究和生产中广泛应用。
2.原理
X射线同无线电波、可见光、紫外线等一样,本质上都属于电磁波,只是彼此之间占据不同的波长范围而已。X射线的波长较短,大约在10-8~10-10cm之间。X射线分析仪器上通常使用的X射线源是X射线管,这是一种装有阴阳极的真空封闭管(见图1),在管子两极间加上高电压,阴极就会发射出高速电子流撞击金属阳极靶,从而产生X射线。当X射线照射到晶体物质上,由于晶体是由原子规则排列成的晶胞组成,这些规则排列的原子间距离与入射X射线波长有相同数量级,故由不同原子散射的X射线相互干涉,在某些特殊方向上产生强X射线衍射,衍射线在空间分布的方位和强度,与晶体结构密切相关不同的晶体物质具有自己独特的衍射样,这就是X射线衍射的基本原理。
当一个外来电子将K层的一个电子击出成为自由电子(二次电子),这是原子就处于高能的不稳定状态,必然自发地向稳态过渡。此时位于外层较高能量的L层电子可以跃迁到K层。能量差ΔE=EL-EK=hν将以X射线的形式放射出去,其波长λ=h/ΔE必然是个仅仅取决于原子序数的常数。这种由L→K的跃迁产生的X射线我们称为Kα辐射,同理还有Kβ辐射,Kγ辐射。不过应当知道离开原子核越远的轨道产生跃迁的几率越小,所以高次辐射的强度也将越来越小。

图片1 X射线产生机理示意图
3.应用
3.1 物相鉴定
物相鉴定是指确定材料由哪些相组成和确定各组成相的含量,主要包括定性相分析和定量相分析。每种晶体由于其独特的结构都具有与之相对应的X射线衍射特征谱,这是X射线衍射物相分析的依据。将待测样品的衍射图谱和各种已知单相标准物质的衍射图谱对比,从而确定物质的相组成。确定相组成后,根据各相衍射峰的强度正比于该组分含量(需要做吸收校正者除外),就可对各种组分进行定量分析。
3.2 点阵参数的测定
点阵参数是物质的基本结构参数,任何一种晶体物质在一定状态下都有一定的点阵参数。测定点阵参数在研究固态相变、确定固溶体类型、测定固溶体溶解度曲线、测定热膨胀系数等方面都得到了应用。点阵参数的测定是通过X射线衍射线位置的测定而获得的,通过测定衍射花样中每一条衍射线的位置均可得出一个点阵常数值。
3.3 微观应力的测定
微观应力是指由于形变、相变、多相物质的膨胀等因素引起的存在于材料内各晶粒之间或晶粒之中的微区应力。当一束X射线入射到具有微观应力的样品上时,由于微观区域应力取向不同,各晶粒的晶面间距产生了不同的应变,即在某些晶粒中晶面间距扩张,而在另一些晶粒中晶面间距压缩,结果使其衍射线并不像宏观内应力所影响的那样单一地向某一方向位移,而是在各方向上都平均地作了一些位移,总的效应是导致衍射线漫散宽化。材料的微观残余应力是引起衍射线线形宽化的主要原因,因此衍射线的半高宽即衍射线最大强度一半处的宽度是描述微观残余应力的基本参数。
3.4 纳米材料粒径的表征
纳米材料的颗粒度与其性能密切相关。纳米材料由于颗粒细小,极易形成团粒,采用通常的粒度分析仪往往会给出错误的数据。采用X射线衍射线线宽法(谢乐法)可以测定纳米粒子的平均粒径。谢乐微晶尺度计算公式为:
其中λ为X射线波长,βHKL为衍射线半高峰宽处因晶粒细化引起的宽化度,测定过程中选取多条低角度(2θ≤50°)X射线衍射线计算纳米粒子的平均粒径。
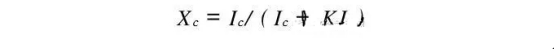
3.5 结晶度的测定
结晶度是影响材料性能的重要参数。在一些情况下,物质结晶相和非晶相的衍射图谱往往会重叠。结晶度的测定主要是根据结晶相的衍射图谱面积与非晶相图谱面积的比,在测定时必须把晶相、非晶相及背景不相干散射分离开来。基本公式为:
式中:Xc—结晶度
Ic—晶相散射强度Ia—非晶相散射强度
K—单位质量样品中晶相与非晶相散射系数之比
目前主要的分峰法有几何分峰法[12]、函数分峰法[13]等。范雄等[14]采用X射线衍射技术测定了高聚物聚丙烯(PP)的结晶度,利用函数分峰法分离出非晶峰和各个结晶峰,计算出了不同热处理条件下聚丙烯的结晶度,得出了聚丙烯结晶度与退火时间的规律。
3.6 晶体取向及织构的测定
晶体取向的测定又称为单晶定向,就是找出晶体样品中晶体学取向与样品外坐标系的位向关系。虽然可以用光学方法等物理方法确定单晶取向,但X衍射法不仅可以精确地单晶定向,同时还能得到晶体内部微观结构的信息。一般用劳埃法单晶定向,其根据是底片上劳埃斑点转换的极射赤面投影与样品外坐标轴的极射赤面投影之间的位置关系。透射劳埃法只适用于厚度小且吸收系数小的样品,背射劳埃法就无需特别制备样品,样品厚度大小等也不受限制,因而多用此方法。
多晶材料中晶粒取向沿一定方位偏聚的现象称为织构,常见的织构有丝织构和板织构两种类型。为反映织构的概貌和确定织构指数,有三种方法描述织构:极图、反极图和三维取向函数,这三种方法适用于不同的情况。对于丝织构,要知道其极图形式,只要求出其丝轴指数即可,照相法和衍射仪法是可用的方法。板织构的极点分布比较复杂,需要两个指数来表示,且多用衍射仪进行测定。
4.应用案例
案例背景:送检样品为白色粉末状的珍珠粉,送检方要求进行物相鉴定。本试验使用设备为日本理学D/max2500的X射线衍射仪。
试验参数:管压40KV,管流200μA,Cu靶,衍射宽度DS=SS=1°,RS=0.3mm,扫描速度2.000 (d•min-1),扫描范围10°~80°。
测试结果:样品的主要成分为碳酸钙。
5.小结
本文简单介绍了X射线衍射技术(XRD)的基本原理、结构和应用。综上所述,X射线衍射技术在材料分析领域有着十分广泛的应用,在无机材料、有机材料、钢铁冶金、纳米材料等研究领域中发挥越来越重要的作用。X射线衍射技术已经成为人们研究材料尤其是晶体材料最方便、最重要的手段。随着技术手段的不断创新和设备的不断完善升级,X射线衍射技术在材料分析领域必将拥有更广阔的应用前景。